SEMITIP, VERSION 4, Example 5: plotting potential profiles and contours

Click here for input/output files for Example 5

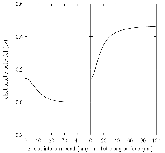
All versions of the program permit output of potential profiles and contour lines. We illustrate that here for the same FORT.9 file as used in example 4. The plot below shown the potential profile into the semiconductor (left) from FORT.11, and along the surface (right) from FORT.12. Since we have extrinsic surface states, the bands bend upwards at the surface. But near the tip this upwards band bending is reduced, due to the applied bias of the tip.

Contour lines for the potential from FORT.20 - FORT.26 are shown below, plotted over a horizontal distance of 60 nm and a vertical distance of 20 nm.
The spacing of the contour lines is deduced from the last few lines of the FORT.16 file:
 MIN, MAX POTENTIAL VALUES = -0.86999995      0.47365570    
 CONTOUR SPACING =  0.19195081    
The sample bias voltage in this example is -1.3 V and the contact potential is 0.43 eV. Thus, the electrostatic potential of the tip relative to a point deep inside the semiconductor is -1.3 + 0.43 = -0.87 eV. This is the minimum potential in the problem, corresponding to the surface of the tip (shown black in the above plot). Six additional potential contours (as specified in the FORT.9 file) are plotted, the first at -0.87+0.1920 eV and each successive one spaced a further 0.1920 eV from the previous.