SEMITIP, VERSION 4, Example 4: plotting wave-functions for localized states

Click here for input/output files for Example 4

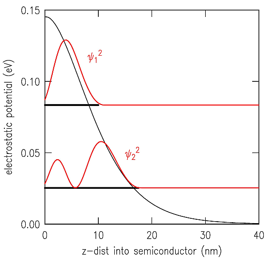
VERSION 4 of the program also allows the user to plot wave-functions of localized states and other quantities as well. For example, in example 3, the bands bend upwards due to the charge density of the extrinsic states. Therefore, localized states form near the top of the in the valence band. These states are neither inversion nor accumulation type states, but they are nevertheless localized at the surface by virtue of the upwards band bending. In this example, we use the same FORT.9 file as example 3, but we run it at only a single voltage point, -1.3 V. We set the modulation voltage to 0 V (line 19), so only a the single voltage point at -1.3 V is computed. Three localized light-hole states are detected by the program at this voltage (FORT.30) and eight heavy-hole states (FORT.40). (Presumably some split-off states also form, but they are not listed by the program since they occur in an energy range far from anything relevant to the computation of conductance). With the choice of the output parameter (line 45 of FORT.9) as 7, the wavefunctions are output into files FORT.31 and FORT.41, respectively. Plotting the former, along with the band bending, yields:

These wavefunctions appear to approach their final zero values rather abruptly, i.e. without a long, gradual tail extending to zero. The reason for this unrealistic behavior is the small number of energies values used in the intergration (only 20, as in line 42 of FORT.9). Increasing that value to, say, 2000 produced a much more realistic result for the wavefunctions (although the current does not change substantially).

The bottom lines of the FORT.16 file for this run contain:

 COMPUTATION OF CURRENT:
 # GRID POINTS INTO SEMICONDUCTOR USED FOR INTEGRATION =          96
 DEPTH INTO SEMICONDUCTOR USED FOR INTEGRATION =   58.035690    
 VB localized state at energy   8.34632888E-02
 VB localized state at energy   2.54018717E-02
 number of VB light-hole localized states =           2
 VB localized state at energy   0.11975167    
 VB localized state at energy   8.34632888E-02
 VB localized state at energy   6.16902560E-02
 VB localized state at energy   3.99172269E-02
 VB localized state at energy   2.54018717E-02
 VB localized state at energy   1.08865183E-02
 VB localized state at energy   3.62884207E-03
 number of VB heavy-hole localized states =           7
 number of VB split-off localized states =           0
 valence band current ext,loc = -3.46586867E-19 -5.02927864E-17
 number of CB localized states =           0
 conduction band current ext,loc = -5.27982768E-17   0.0000000    
 MIN, MAX POTENTIAL VALUES = -0.86999995      0.47365570    
 CONTOUR SPACING =  0.19195081    
 PRESS THE ENTER KEY TO EXIT
We see here a listing of the energies of the localized states from the light-hole band and from the heavy-hole band. The sixth-to-last line give the current from the valence band, separated into the components from the extended and the bulk states, and the fourth-to-last line gives the current from states in the conduction band occupied due to the doping (i.e. dopant-induced component of the current). This latter component is seen to be comparable to the sum of the valence band components, for this particular example. The dopant-induced component, although absent from the band gap region, is thus seen to be present near the apparent onset of the valence band conductance.